Thuế đối ứng của ông Trump cao hơn hẳn số liệu của WTO, Việt Nam thực chất chỉ áp thuế Mỹ 5,1%
Theo kết quả mà Viện Cato tính toán từ số liệu của WTO, Việt Nam chỉ áp thuế hàng hoá Mỹ ở mức 5,1%. Con số này chênh lệch gần 85 điểm % so với mức thuế mà Mỹ đưa ra.

Hôm 2/4, Tổng thống Donald Trump đã công bố chính sách thuế quan đối ứng mới, khiến nhiều nhà kinh tế và đối tác thương mại của Mỹ đặt câu hỏi về cách Nhà Trắng tính toán mức thuế.
Theo chính sách mới, Mỹ sẽ áp đặt mức thuế đối ứng tối thiểu 10% đối với tất cả hàng hoá nhập khẩu vào nước này bắt đầu từ ngày 5/4. Tuy nhiên, nhiều quốc gia và vùng lãnh thổ như Trung Quốc và Việt Nam phải chịu mức thuế cao hơn từ ngày 9/4.
Tại buổi lễ ở Vườn Hồng, ông Trump đã giơ cao một tấm áp phích phác thảo các mức thuế mà Nhà Trắng khẳng định các đối tác đang áp dụng với hàng hoá Mỹ và các mức thuế mà Mỹ đáp trả.
Thuế quan đối ứng sẽ bằng một nửa mức thuế mà chính quyền ông Trump cho biết mỗi đối tác đang áp đặt lên hàng hoá Mỹ.
Ví dụ, tấm áp phích cho biết Trung Quốc áp thuế 67% và Mỹ sẽ áp dụng mức thuế đối ứng 34%, hay Việt Nam chịu mức thuế 46% do Washington đánh giá hàng Mỹ vào nước ta chịu mức thuế 90%.
Tuy nhiên, một báo cáo từ Viện Cato chỉ ra mức thuế quan trung bình theo trọng số thương mại ở hầu hết mọi quốc gia hoặc vùng lãnh thổ đều thấp hơn nhiều so với mức mà chính quyền ông Trump công bố.
Báo cáo được thực hiện dựa trên mức thuế quan trung bình theo trọng số thương mại từ Tổ chức Thương mại Thế giới (WTO) năm 2023, năm gần đây nhất có sẵn dữ liệu.
Theo Viện Cato, mức thuế trung bình theo trọng số thương mại năm 2023 từ Trung Quốc là 3%, không phải 67% như chính quyền ông Trump khẳng định. Mức thuế từ Việt Nam là 5,1%, chênh lệch gần 85 điểm % so với con số của Nhà Trắng.
Hay như Washington khẳng định Liên minh châu Âu (EU) áp thuế 39% lên hàng hoá Mỹ, nhưng báo cáo của Viện Cato cho biết mức thuế trung bình theo trọng số thương mại năm 2023 của EU là 2,7%.
Trong một ví dụ khác, Nhà Trắng cho biết Ấn Độ áp mức thuế 52% đối với hàng hoá Mỹ. Tuy nhiên, Viện Cato phát hiện mức thuế trung bình theo trọng số thương mại năm 2023 của Ấn Độ là 12%.
Sau khi ông Trump công bố thuế đối ứng, nhiều người dùng trên mạng xã hội nhanh chóng nhận ra Mỹ dường như đã tính toán mức thuế bằng cách chia thâm hụt thương mại hàng hoá cho kim ngạch nhập khẩu hàng hoá từ một đối tác.
CNBC cho rằng đây là một cách tiếp cận khác thường vì nó cho thấy Mỹ đã tính đến thâm hụt thương mại hàng hoá nhưng bỏ qua thặng dư thương mại dịch vụ của nước này.
Trong một thông báo sau đó, Văn phòng Đại diện Thương mại Mỹ (USTR) cho biết việc tính toán tác động kết hợp của thuế quan, quy định, thuế và các chính sách khác ở nhiều quốc gia “có thể được đại diện bằng cách tính toán mức thuế quan phù hợp với việc đưa thâm hụt thương mại song phương về mức 0”.
“Nếu thâm hụt thương mại dai dẳng do các chính sách thuế quan và phi thuế quan, thì mức thuế quan phù hợp để bù đắp tác động của các chính sách đó là có đi có lại và công bằng”, cơ quan này nhấn mạnh.
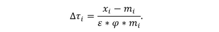
Dưới đây là công thức mà USTR sử dụng để tính mức thuế mà các đối tác thương mại áp dụng đối với hàng hoá Mỹ:
Trong đó, τ_i là mức thuế quan mà Mỹ áp dụng với quốc gia i, ∆τ_i phản ánh sự thay đổi của thuế suất.
x_i biểu diễn tổng kim ngạch hàng hóa Mỹ xuất khẩu sang nước i, m_i thể hiện tổng kim ngạch hàng hóa Mỹ nhập khẩu từ nước i.
ε biểu diễn độ co giãn của hàng nhập khẩu so với giá nhập khẩu. Con số này đo lường mức độ nhạy cảm của nhu cầu nhập khẩu đối với những thay đổi về giá do thuế quan gây ra.
φ thể hiện mức độ truyền tải của thuế quan lên hàng hóa nhập khẩu vào Mỹ. Nếu φ = 1, thuế quan được phản ánh hoàn toàn vào giá cả; nếu φ < 1, người tiêu dùng chỉ phải chịu một phần tăng của thuế quan, phần còn lại sẽ do doanh nghiệp san sẻ.
USTR cho biết ε và φ được xác định cho từng quốc gia, nhưng dẫn các nghiên cứu cho thấy trong lâu dài, giá trị tuyệt đối của ε thường quay về mức 2, nhưng các ước tính thận trọng hơn thiên về khoảng giá trị 3 - 4.
φ được đặt ở mức 0,25. USTR cho biết kinh nghiệm gần đây về thuế quan của Mỹ đối với Trung Quốc chứng minh rằng mức độ truyền tải từ thuế quan sang giá bán lẻ là khá thấp.
Theo Doanh Nghiệp & Kinh Doanh



